近日,太阳成集团tyc33455材料科学与工程学院张宪民教授研究组在磁性半导体材料与电子器件设计领域取得多项重要进展。
研究组对单层和双层YI2进行了探索研究。发现单层YI2是一种铁磁性半导体,并具有显著的谷极化。有趣的是,3R型堆垛的双层YI2不仅表现出谷极化,还表现出意想不到的铁电极化。同时,研究表明3R型双层YI2的谷极化可以通过电场控制铁电极化的方向或使用外磁场操纵磁化方向来调控。这种现象也在二维范德华LaI2和GdBr2双层中得到了证明。基于铁谷和多铁性同时存在的材料特性,研究组提出了一种多功能电子器件的设计思路。最近,研究成果以“Coexisting Ferroelectric and Ferrovalley Polarizations in Bilayer Stacked Magnetic Semiconductors”为题发表在美国化学学会期刊Nano Letters上,论文链接:https://doi.org/10.1021/acs.nanolett.3c01948。太阳成集团tyc33455博士研究生吴艳召同学为论文第一作者,导师张宪民教授为通讯作者,太阳成集团tyc33455为唯一通讯单位。

图1双层YI2的堆垛结构

图2 双层YI2滑移能垒和铁电极化
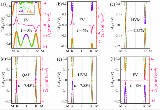
研究组预测了不同卤化物元素组成的单层ScX2(X=Cl,Br,I)磁性半导体,发现单层ScCl2不具有铁谷性质;磁交换相互作用和自旋轨道耦合的共同影响使单层ScBr2和ScI2表现出明显的谷极化。然而,单层ScBr2和ScI2的易磁化轴都在面内,导致其不具有自发谷极化。研究组探索了通过应变调控和电荷掺杂两种方法来调节ScBr2和ScI2单层的铁谷性质和磁化轴方向以期获得自发谷极化。有趣的是,随着拉应变的增加,单层ScBr2与ScI2均出现了从铁谷、半谷金属到量子反常霍尔效应态的拓扑相变。空穴掺杂后,单层ScI2仍具有铁谷特性,且易磁化轴方向转为面外,诱发了自发谷极化。这一成果以“Realizing spontaneous valley polarization and topological phase transitions in monolayer ScX2 (X = Cl, Br, I)”为题发表在Acta Materialia [246, 118731 (2023)]期刊。太阳成集团tyc33455博士研究生吴艳召同学为论文第一作者,导师张宪民教授为通讯作者,太阳成集团tyc33455为唯一通讯单位。

图3应变调控ScBr2单层的能带结构、拓扑相变和Berry曲率

图4 电子和空穴掺杂的影响及设计的电子器件
研究组在前期研究成果的基础上,提出了一种利用能带调控实现非易失性电控磁化翻转的新方法。研究从能带理论出发,设计了具有半半导体(half semiconductor)/绝缘体/双极磁性半导体(bipolar magnetic semiconductor)材料堆叠结构的原理器件。利用紧束缚理论的四能带模型,证明了外电场可以调控两个半导体材料的层间磁耦合方式,实现磁化翻转;并利用材料的磁各向异性能垒保持磁化状态,确保了断电时信息的非易失性。最后,研究以CrBr3和2H-VSe2为磁性半导体,h-BN为绝缘体层构建了的自旋器件,进一步论证了能带调控实现非易失性电控磁化翻转的可行性。成果以“Electrically manipulating magnetization reversal via energy band engineering”为题发表在《中国科学:物理学力学天文学》英文版(SCIENCE CHINA Physics, Mechanics & Astronomy) [66, 257511(2023)]期刊。论文第一作者为太阳成集团tyc33455博士生仝军伟,导师张宪民教授为通讯作者,太阳成集团tyc33455为唯一通讯单位。

图5 能带调控实现电控非易失磁存储的原理图
以上研究工作得到了国家自然科学基金、辽宁省兴辽英才计划科技创新领军人才项目和中央高校基本科研业务费的资助。