近日,太阳成集团tyc33455材料电磁过程研究教育部重点实验室稀土磁性材料课题组在Small期刊发表了题为“In-Plane Chemical Ordering (Mo2/3R1/3)2AlB2 (R = Tb, Dy, Ho, Er, Tm and Lu) i-MAB Phases and their Two-dimensional Derivatives (MBene): Synthesis, Structure, Magnetic and Supercapacitor Performance”的研究论文。太阳成集团tyc33455为第一通讯单位,材料科学与工程学院博士研究生种禾为第一作者,崔伟斌教授为通讯作者。

新能源开发利用已经成为未来的能源发展主流,包括风能、水能、核能等能源技术都已经普遍应用。然而能量的存储是个不可避免的课题,而超级电容器是一种新型的能量存储与转化装置,不但拥有较高的能量密度,而且功率密度也很高,是一种能够在能源紧缺时代解决不断增长的能源需求的技术。以MXene为代表的二维材料,在新能源领域中有广泛的应用。
MXene是一种从MAX相中通过拓扑化学法刻蚀得到的一种二维过渡金属碳/氮化物,其继承了MAX相前驱体较为单一的六次对称结构,具有比表面积大、化学组成丰富、表面官能团多样可调等特点,在能量存储转化等领域具有极大的应用潜力。与MAX相主要结晶于P63/mmc六方空间群不同,得益于硼元素的欠电子特性,MAX相的硼化类似物MAB相往往具有丰富晶体结构(如Cmcm、Cmmm、Immm、Pmmm)。其展现出的类似于MAX相的可化学剥离为二维MXene的前景也吸引着研究者的目光,故开发新的可二维化的MAB相前驱体对其二维衍生物MBene的应用具有重要意义。
该研究合成并表征了一系列稀土有序占位的层状硼化物(Mo2/3R1/3)2AlB2 (R = Tb, Dy, Ho, Er, Tm, Lu) i-MAB相。(Mo2/3R1/3)2AlB2晶体结构为R-3m六方结构,Mo原子与稀土R原子在Mo-R层内有序交替排列,其中R原子位于Mo原子正六边形中心位置并略突出Mo-R层向Al层延伸(图1)。

图 1(a)(Mo2/3Ho1/3)2AlB2的XRD精修图谱,(b) (Mo2/3Ho1/3)2AlB2的晶胞参数对比;(Mo2/3Ho1/3)2AlB2沿(c)[100], (d)[-110], (e)[001]轴的STEM-HAADF及选区电子衍射图像
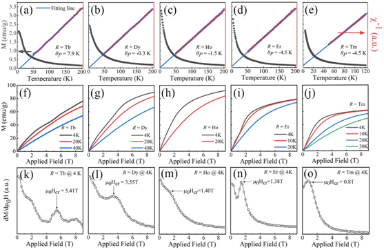
由于稀土原子4f电子的自旋相互作用,(Mo2/3R1/3)2AlB2化合物在低温下表现出外场诱导的磁矩翻转现象,并且随着磁晶各向异性场的逐渐减弱,从R=Tb到Tm,磁矩翻转所需临界场逐渐减小(图2)。

图 2 (Mo2/3Ho1/3)2AlB2(R = (a)Tb, (b)Dy, (c)Ho, (d)Er, (e)Tm)在0.1 T外场下的此热曲线; (Mo2/3Ho1/3)2AlB2(R = (f)Tb, (g)Dy, (h)Ho, (i)Er, (j)Tm)不同温度下的等温此话曲线;(Mo2/3Ho1/3)2AlB2(R = (k)Tb, (l)Dy, (m)Ho, (n)Er, (o)Tm)4 K等温此话曲线对应的dM/dμ0H曲线
通过拓扑化学法选择性刻蚀掉(Mo2/3R1/3)2AlB2中的Al原子层和R原子,可得到具有R有序空位,且保持(Mo2/3R1/3)2AlB2母相六次对称的二维衍生物MBene(图3)。通过773 K氮化处理,其仍然保持六次对称和层状结构,较原始MBene,其电荷转移电阻大幅减小、质量比电容大幅提升至219F/g(在2mV/s的扫描速率下),这得益于层间层间插层离子的分解脱嵌以及Mo-N键的引入。进一步提升氮化温度至973 K,MBene可转变为结晶性较差的晶态Mo2N纳米片,其质量比电容为229F/g(在2mV/s的扫描速率下)(图4)。

图 3 MBene的STEM-HAADF图像及相应的快速傅里叶变换(插图)

图 4 MBene@Ho, MBene@Ho-N573K, MBene@Ho-N773K, MBene@Ho-N973K (a)在50mV/s扫速下的CV曲线,(b)质量比电容,(c)Nyquist图,(d) MBene@Ho-N973K的b值拟合结果
该研究拓宽了稀土有序占位的纳米层状硼化物体系,探索了该体系的晶体结构与磁性;通过拓扑化学法刻蚀,将稀土元素与二维储能体系进行结合,拓宽了稀土元素在超级电容器中的应用。感谢太阳成集团tyc33455分析测试中心对本研究中结构表征方面工作的大力支持。